Sulfobutylether Beta Cyclodextrin Sodium Powder
IMG
VIDEO

Sulfobutylether Beta Cyclodextrin Sodium Powder

Sulfobutylether Beta Cyclodextrin Sodium Powder
Číslo CAS: 182410-00-0
Vzhled: Bílý až téměř bílý amorfní prášek
Stupeň: Stupeň pro injekci / Farmaceutická pomocná látka
Stanovení: ≥ 99,0 % (na bezvodé bázi)
Rozpustnost: Volně rozpustný ve vodě
Bakteriální endotoxiny: ≤ 10 EU/g
Výkonný standard: USP / EP / ChP

Odeslat dotaz

Popis výrobku


Co je sulfobutylether Beta Cyclodextrin Sodium Powder?


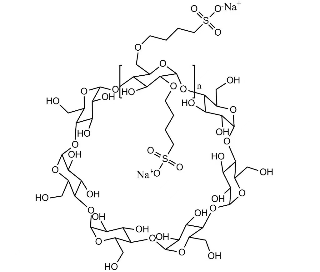
Sulfobutylether beta cyklodextrin sodný Powder je vysoce ve vodě rozpustný aniontový derivát β-cyklodextrinu používaný jako farmaceutický excipient. Vyrábí se chemickou modifikací beta cyklodextrinu sulfobutyletherovými skupinami za kontrolovaných alkalických podmínek, čímž vzniká sodná sůl s vynikajícími solubilizačními vlastnostmi.

Tento injikovatelný excipient je navržen tak, aby tvořil stabilní, nekovalentní inkluzní komplexy se špatně rozpustnými aktivními farmaceutickými složkami (API). Zapouzdřením molekul léčiva Sulfobutylether Beta Cyclodextrin Sodium Powder významně zlepšuje rozpustnost léčiva, stabilitu a biologickou dostupnost a zároveň snižuje lokální podráždění, hemolýzu a renální toxicitu.

Sulfobutylether beta cyklodextrin sodný Powder je díky svému vysokému bezpečnostnímu profilu a silné komplexační schopnosti široce používán v parenterálních farmaceutických formulacích, zejména pro antifungální, antivirová, onkologická a kardiovaskulární injekční léčiva. Vyhovuje hlavním lékopisným standardům, jako jsou USP a EP, a je vhodný pro klinické a komerční farmaceutické aplikace.


Specifikace sulfobutylether Beta Cyclodextrin Sodium Powder


Produkt na
Sulfobutylether beta cyklodextrin sodný
Č. CAS
182410-00-0
Vzhled Bílý nebo téměř bílý hygroskopický prášek.
Executive Standard USP / EP / ChP
Obal 500 g/sáček; 1 kg/pytel; 10 kg/pytel; 10 kg/buben
Synonyma SBE-p-CD; sulfobutylether beta-cyklodextrin; Betadex sulfobutylether sodný
TEST ≥99 %
Bakteriální endotoxiny
≤10 EU/g
MOQ 1 kg


Sulfobutylether beta cyklodextrin sodný Powder COA


Jaké je použití a výhody sulfobutylether beta cyklodextrinu (SBECD)?

1. Použití sulfobutylether beta cyklodextrinu (SBECD)

Sulfobutyl Ether Beta Cyclodextrin (SBECD) se používá hlavně jako farmaceutická pomocná látka, zejména v:


  • Injekční (parenterální) lékové formulace
  • Oftalmologické (oční) přípravky
  • Nosní a plicní aplikační systémy léků
  • Formulace ve vodě špatně rozpustných API, jako jsou antifungální, antivirová, protirakovinná a kardiovaskulární léčiva


2. Výhody sulfobutylether beta cyklodextrinu (SBECD)


  • Výrazně zlepšuje rozpustnost špatně rozpustných léčiv ve vodě
  • Zvyšuje stabilitu léčiva tvorbou nekovalentních inkluzních komplexů
  • Zlepšuje bezpečnost léčiv, zejména u injekčních přípravků
  • Snižuje renální toxicitu ve srovnání s některými tradičními solubilizátory
  • Minimalizuje hemolýzu a podráždění v místě vpichu
  • Kontroluje rychlost uvolňování léčiva a zlepšuje terapeutický výkon
  • Maskuje nepříjemný zápach nebo chuť API
  • Vysoká rozpustnost ve vodě a nízká toxicita, vhodné pro parenterální použití

Proč si vybrat nás?


Více než 20 let zkušeností s výrobou

S více než dvěma desetiletími specializovaných zkušeností s výrobou cyklodextrinu a derivátů cyklodextrinu si společnost Xi’an Deli Biochemical Industry Co., Ltd. vybudovala solidní reputaci pro kvalitu produktů, stabilitu procesu a spolehlivé dodávky.


Velká a stabilní výrobní kapacita

Provozujeme průmyslové výrobní linky s roční kapacitou 500 tun Hydroxypropyl Betadex a 200 tun Betadex Sulfobutyl Ether Sodium, což zajišťuje stabilní dodávky pro dlouhodobé komerční a klinické aplikace.


Zajištění farmaceutické kvality

Naše produkty jsou vyráběny podle přísného systému řízení kvality s vyhrazeným čistým prostorem třídy D navrženým podle požadavků farmaceutické výroby. Komplexní testování během procesu a konečného produktu zajišťuje vynikající konzistenci mezi jednotlivými šaržemi.


Pokročilé analytické a testovací schopnosti

Naše laboratoř, vybavená moderními analytickými přístroji, jako je HPLC, GC, IC, kapilární elektroforéza, FTIR a testování podporované NMR, je schopna splnit lékopisné požadavky USP, EP a ChP, podporovat vývoj formulací a dodržování předpisů.


Regulační podpora a zkušenosti s globálním trhem

Naše klíčové produkty, včetně Hydroxypropyl Betadex a Betadex Sulfobutyl Ether Sodium, byly zaregistrovány a podány u FDA, což prokazuje naše zkušenosti s podporou zákazníků na globálních farmaceutických trzích.


Technická podpora orientovaná na zákazníka

Poskytujeme profesionální technickou podporu, dokumentaci a poradenství týkající se formulací, úzce spolupracujeme se zákazníky od raného vývoje až po dlouhodobé komerční dodávky.


Kvalifikace společnosti

Certifikáty Xi’an Deli Biochemical Industry Co., Ltd.

V průběhu let se společnost Xi’an Deli Biochemical Industry Co., Ltd. nepřetržitě zavázala k optimalizaci výrobního procesu a vytvoření komplexního systému řízení kvality pro cyklodextriny a jejich deriváty.


FAQ

1. Jste výrobce nebo obchodní společnost?

Jsme profesionální výrobce specializující se na cyklodextrin a deriváty cyklodextrinu. Všechny produkty jsou vyráběny v našem vlastním výrobním závodě v Xi’anu v Číně.


2. Jaké jsou vaše hlavní produkty?

Naše hlavní produkty jsou Hydroxypropyl Betadex (HPBCD) a Betadex Sulfobutyl Ether Sodium (SBECD), které jsou široce používány jako farmaceutické pomocné látky, zejména v injekčních a perorálních formulacích.


3. Splňují vaše produkty lékopisné normy?

Ano. Naše produkty splňují požadavky USP, EP a čínského lékopisu. Kompletní certifikáty analýzy (COA) jsou dodávány s každou šarží.


4. Dodáváte injekční materiály?

Ano. Specializujeme se na injekční deriváty cyklodextrinu s přísnou kontrolou nečistot, endotoxinů a konzistence jednotlivých šarží.


5. Jaká je vaše výrobní kapacita?

Hydroxypropyl Betadex: 500 metrických tun za rok

Betadex Sulfobutyl Ether Sodium: 200 metrických tun za rok


6. Poskytujete vzorky pro hodnocení?

Ano. Na vyžádání jsou k dispozici bezplatné vzorky pro vývoj a testování složení.


7. Můžete podpořit dlouhodobé komerční dodávky?

Ano. S rozsáhlými výrobními linkami a stabilními systémy kvality podporujeme dlouhodobé a komerční dodávky pro globální farmaceutické zákazníky.


8. Jaké systémy kvality dodržujete?

Pracujeme v souladu s normou ISO 9001:2015, s podporou pokročilého analytického vybavení a specializované laboratoře pro kontrolu kvality, abychom zajistili konzistenci a shodu produktů.



Hot Tags: Sulfobutylether Beta Cyclodextrin Sodium Powder, Výrobci, Dodavatelé, Čína, Továrna, volně ložený, Vzorek zdarma, Vyrobeno v Číně, Skladem, Velkoobchod, Koupit

Související kategorie

Odeslat dotaz

Neváhejte a napište svůj dotaz do formuláře níže. Odpovíme vám do 24 hodin.
icon
X
Používáme cookies, abychom vám nabídli lepší zážitek z prohlížení, analyzovali návštěvnost webu a přizpůsobili obsah. Používáním tohoto webu souhlasíte s naším používáním souborů cookie. Zásady ochrany osobních údajů
Odmítnout Přijmout