X
IMG
VIDEO

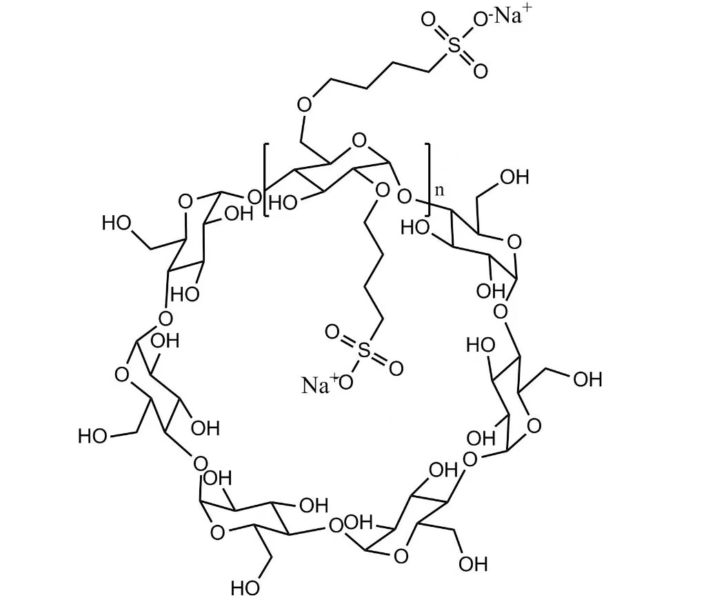
SBE-β-CD sulfobutylether beta cyklodextrin sodný injekční farmaceutická pomocná látka

Velkoobchodní injekční farmaceutická pomocná látka SBE-β-CD Sulfobutylether beta cyklodextrin sodný vyrobený v Číně od DELI. SBE-β-CD (Sulfobutylether Beta Cyclodextrin Sodium) je vysoce ve vodě rozpustný injekční farmaceutický excipient používaný ke zvýšení rozpustnosti, stability a bezpečnosti špatně rozpustných API prostřednictvím reverzibilní tvorby inkluzního komplexu.

Odeslat dotaz

Popis výrobku


SBE-β-CD sulfobutylether beta cyklodextrin sodný injekční farmaceutická pomocná látka

SBE-β-CD (Sulfobutylether Beta Cyclodextrin Sodium) je vysoce ve vodě rozpustný aniontový derivát β-cyklodextrinu určený pro injekční farmaceutické aplikace. Tvoří stabilní, nekovalentní inkluzní komplexy s aktivními farmaceutickými složkami (API), což významně zlepšuje rozpustnost, stabilitu a bezpečnost léků špatně rozpustných ve vodě.

Díky své vynikající biokompatibilitě, nízké hemolytické aktivitě a kontrolovanému profilu toxicity je SBE-β-CD široce používán v systémech parenterálního podávání léků v mnoha terapeutických oblastech.


Klíčové výhody


SBE-β-CD zvyšuje rozpustnost hydrofobních API ve vodě při zachování bezpečnosti formulace. Ve srovnání s tradičními solubilizačními činidly vykazuje sníženou renální toxicitu a nižší podráždění v místech vpichu, takže je vhodný pro opakované parenterální podávání.


Farmaceutické aplikace


SBE-β-CD se primárně aplikuje v injekčních a sterilních formulacích, včetně intravenózních, intramuskulárních a subkutánních dávkových forem. Běžně se používá v antivirových, antifungálních, onkologických a kardiovaskulárních léčivých přípravcích, kde je kritická vysoká rozpustnost a stabilita formulace.


Specifikace produktu


Chemický název Sulfobutylether beta cyklodextrin sodný
Č. CAS 182410-00-0
Vzhled Bílý až téměř bílý amorfní prášek
Stupeň Injekční farmaceutická pomocná látka
Rozpustnost Volně rozpustný ve vodě
Zkouška 95,0 % – 105,0 % (bezvodá báze)
Průměrný stupeň substituce (DS) 6.2 – 6.9
Bakteriální endotoxiny ≤ 10 EU/g
Normy USP / EP
Doba použitelnosti 36 měsíců


Specifikace balení


Dostupné možnosti balení zahrnují 500 g/pytel, 1 kg/pytel, 10 kg/pytel a 10 kg/buben. Přizpůsobené balení je k dispozici na vyžádání pro komerční dodávky.


Zajištění kvality


Všechny šarže SBE-β-CD jsou vyráběny pod přísným systémem řízení kvality a procházejí komplexním analytickým testováním. Klíčové parametry kvality, jako jsou nečistoty, endotoxiny, stupeň substituce a konzistence šarže, jsou přísně kontrolovány.

Každá zásilka je doprovázena Certifikátem analýzy (COA), aby byla zajištěna úplná sledovatelnost a dodržování předpisů.


Kvalifikace a certifikace společnosti


Xi’an Deli Biochemical Industry Co., Ltd. je high-tech společnost specializující se na výzkum, vývoj a výrobu cyklodextrinů a jejich derivátů. Společnost byla založena v roce 1999 a má více než 26 let zkušeností v oboru.

Společnost provozuje vyhrazené linky na výrobu farmaceutických pomocných látek s kontrolovanými čistými výrobními prostory. Její systém řízení kvality prošel certifikací ISO 9001 a základní produkty jsou registrovány nebo registrovány u příslušných regulačních orgánů, včetně FDA.


Výrobní kapacita


Společnost Xi’an Deli Biochemical zavedla rozsáhlou komerční výrobní kapacitu pro SBE-β-CD, která zajišťuje spolehlivé dlouhodobé dodávky pro globální farmaceutické zákazníky.

Roční výrobní kapacita přesahuje 200 metrických tun, s typickou velikostí šarže přibližně 2,5 metrických tun.


FAQ

Q1: Jaká je hlavní funkce SBE-β-CD v injekčních formulacích?
Odpověď: SBE-β-CD primárně působí jako solubilizátor a stabilizátor, zlepšuje rozpustnost ve vodě a bezpečnost ve vodě špatně rozpustných API prostřednictvím tvorby reverzibilních inkluzních komplexů.


Q2: Je SBE-β-CD vhodný pro opakované intravenózní podání?
A: Ano. SBE-β-CD vykazuje nízkou hemolytickou aktivitu a sníženou renální toxicitu ve srovnání s tradičními solubilizačními činidly, takže je vhodný pro opakované parenterální použití.


Q3: Splňuje váš produkt lékopisné standardy?
Odpověď: Náš SBE-β-CD vyhovuje požadavkům USP a EP a je vyráběn v rámci certifikovaného systému řízení kvality.


Q4: Lze poskytnout technickou dokumentaci?
A: Ano. Certifikát pravosti, specifikace a technická data jsou k dispozici na vyžádání.



Hot Tags: SBE-β-CD Sulfobutylether Beta cyklodextrin sodný injekční farmaceutická pomocná látka, Výrobci, Dodavatelé, Čína, Továrna, volně ložené, Vzorek zdarma, Vyrobeno v Číně, Skladem, Velkoobchod, Koupit

Související kategorie

Odeslat dotaz

Neváhejte a napište svůj dotaz do formuláře níže. Odpovíme vám do 24 hodin.
icon
X
Používáme cookies, abychom vám nabídli lepší zážitek z prohlížení, analyzovali návštěvnost webu a přizpůsobili obsah. Používáním tohoto webu souhlasíte s naším používáním souborů cookie. Zásady ochrany osobních údajů
Odmítnout Přijmout