Novinky z oboru

Roztoky na bázi cyklodextrinu pro zvýšení rozpustnosti a stability

2025-12-23 - Nechte mi zprávu

Roztoky na bázi cyklodextrinu pro zvýšení rozpustnosti a stability

Technický přehled hydroxypropyl Betadex a Betadex Sulfobutyl Ether Sodium

Cyklodextriny jsou široce uznávány pro svou schopnost zlepšit rozpustnost a stabilitu špatně rozpustných nebo chemicky citlivých sloučenin. Díky své jedinečné cyklické molekulární struktuře se cyklodextriny a jejich deriváty staly důležitými funkčními pomocnými látkami napříč farmaceutickými, chemickými a souvisejícími formulačními obory. V reakci na zvyšující se technické a regulační požadavky společnost Xi’an Deli Biochemical dále vylepšila technickou dokumentaci a produktovou podporu pro své klíčové deriváty cyklodextrinu:hydroxypropyl betadex (HPBCD) a betadex sulfobutylether sodný (SBECD).


Strukturní charakteristiky a funkční výkonnost cyklodextrinů

Cyklodextriny jsou cyklické oligosacharidy složené z glukózových jednotek spojených α-1,4 glykosidickými vazbami. Jejich molekulární architektura se vyznačuje hydrofilním vnějším povrchem a relativně hydrofobní vnitřní dutinou, což umožňuje tvorbu inkluzních komplexů s širokou škálou hostujících molekul. Chemická modifikace struktury cyklodextrinu může významně zlepšit rozpustnost ve vodě a rozšířit všestrannost použití.


Hydroxypropyl Betadex (HPBCD)


Hydroxypropyl betadex je chemicky modifikovaný β-cyklodextrin určený k překonání omezené rozpustnosti nativních cyklodextrinů. Jeho zvýšená rozpustnost ve vodě a příznivá kompatibilita činí HPBCD vhodným pro aplikace vyžadující účinnou solubilizaci, stabilizaci a flexibilitu formulace napříč různými systémy.


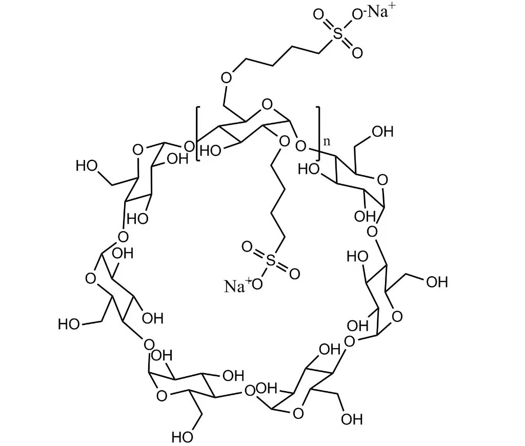
Betadex sulfobutylether sodný (SBECD)


Betadex sulfobutylether sodný je aniontový derivát cyklodextrinu charakterizovaný sulfobutyletherovými substituenty. Tato struktura zlepšuje elektrostatické interakce se specifickými sloučeninami, podporuje zlepšenou rozpustnost, stabilitu komplexu a robustnost formulace v náročnějších aplikacích.

Standardizované informace o produktu a technická podpora

Pro lepší podporu vývoje formulací, hodnocení kvality a nákupních procesů společnost Xi’an Deli Biochemical systematicky aktualizovala informace o produktech pro HPBCD a SBECD, včetně:


  • Jasně definované a standardizované specifikace produktu a analytické parametry
  • Certifikáty analýzy specifické pro šarže (COA) pro zajištění sledovatelnosti a ověřování kvality
  • Rozšířené technické často kladené otázky týkající se manipulace, skladování a typických aplikací
  • Optimalizované souhrny produktů navržené tak, aby usnadnily efektivní technickou kontrolu a výběr


Tato vylepšení mají zlepšit transparentnost, zkrátit lhůty hodnocení a podpořit konzistentní výkon produktu v průběhu celého cyklu dodávek.


Zkušenosti s výrobou a zajištění kvality

Společnost Xi’an Deli Biochemical, založená v roce 1999, přináší 26 let zkušeností s výrobou derivátů cyklodextrinu. Společnost se zaměřuje na řízenou výrobu hydroxypropyl betadexu a betadex sulfobutyl etheru sodného s důrazem na konzistenci procesu, spolehlivost mezi jednotlivými šaržemi a dlouhodobou stabilitu dodávek. Strukturované postupy řízení kvality podporují technické a regulační požadavky zákazníků a požadavky na zdroje.


Rozsah aplikace a technická spolupráce

Na základě mechanismů inkluze a stabilizace cyklodextrinu jsou HPBCD a SBECD použitelné v různých technických oblastech, včetně farmaceutických přípravků, speciálních chemikálií, veterinárních produktů a dalších systémů vyžadujících zvýšenou rozpustnost a stabilitu. Xi’an Deli Biochemical nadále spolupracuje s partnery prostřednictvím komunikace zaměřené na aplikace a technické spolupráce na podporu vyvíjejících se potřeb formulací.


O společnostech biochemického průmyslu Xi’an Deli

Společnost Xi’an Deli Biochemical Industry Companies byla založena v roce 1999 a je specializovaným výrobcem derivátů cyklodextrinu, který dodává hydroxypropyl betadex (HPBCD) a betadex sulfobutylether sodný (SBECD) globálním zákazníkům. S dlouhodobým zaměřením na konzistenci produktů, jasné specifikace a praktickou technickou podporu je společnost odhodlána poskytovat spolehlivá řešení na bázi cyklodextrinu.


Pokud chcete, mohu také:


  • Dále to optimalizujte pro Google SEO (bez snížení technického tónu)
  • Zhuštěte jej do verze „Technická aktualizace“ na stránce produktu
  • Přizpůsobte jej zákazníkům zaměřeným na regulaci / kvalitu


Jen mi řekněte, kde to plánujete zveřejnit.


Odeslat dotaz


icon
X
Používáme cookies, abychom vám nabídli lepší zážitek z prohlížení, analyzovali návštěvnost webu a přizpůsobili obsah. Používáním tohoto webu souhlasíte s naším používáním souborů cookie. Zásady ochrany osobních údajů
Odmítnout Přijmout