CAS 182410-00-0 Sulfobutylether beta cyklodextrin sodný

CAS 182410-00-0 Sulfobutylether beta cyklodextrin sodný

CAS 182410-00-0 Sulfobutylether Beta Cyclodextrin Sodium je derivát cyklodextrinu a nový druh farmaceutických pomocných látek společnosti China DELI.

Odeslat dotaz

Popis výrobku

CAS 182410-00-0 Sulfobutylether beta cyklodextrin sodný

CAS 182410-00-0 Sulfobutylether beta cyklodextrin sodný

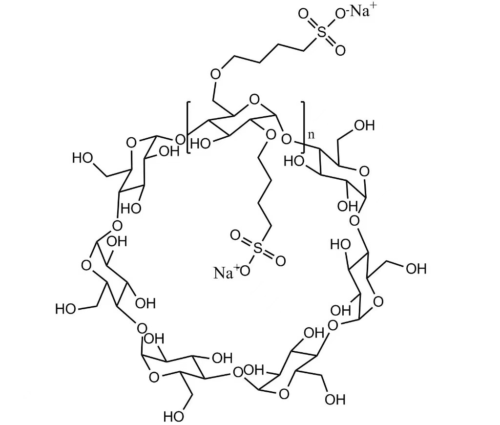
Sulfobutylether Beta Cyclodextrin Sodium (SBECD) je vysoce ve vodě rozpustný aniontový derivát β-cyklodextrinu vyvinutý jako farmaceutický excipient pro injekční a parenterální systémy podávání léků. Prostřednictvím tvorby nekovalentních inkluzních komplexů s aktivními farmaceutickými složkami (API) SBECD významně zlepšuje rozpustnost, stabilitu a bezpečnost formulace léků špatně rozpustných ve vodě.

Díky vynikající biokompatibilitě, nízké hemolytické aktivitě a kontrolované toxicitě se sulfobutylether Beta Cyclodextrin Sodium stal široce přijímaným excipientem v moderních farmaceutických formulacích, zejména v antivirových, antifungálních, onkologických a kardiovaskulárních terapiích.

Základní informace o produktu

Sulfobutylether Beta Cyclodextrin Sodium vypadá jako bílý až téměř bílý amorfní prášek a je volně rozpustný ve vodě. Produkt se dodává jako injekční a vyrábí se v souladu s USP, EP a příslušnými podnikovými standardy, což zajišťuje vhodnost pro regulované farmaceutické aplikace.

Molekulární vzorec: C42H70-nO35·(C4H8TAK3ne)n
Stupeň:Stupeň vstřikování
Oblast použití:Farmaceutické přípravky

Chemické a funkční vlastnosti

SBECD je aniontový derivát betadexu, ve kterém jsou sulfobutyletherové skupiny zavedeny do struktury β-cyklodextrinu. Tato chemická modifikace výrazně zvyšuje rozpustnost ve vodě a umožňuje tvorbu stabilních, avšak reverzibilních inkluzních komplexů s molekulami léčiva.

Funkčně působí sulfobutylether beta cyklodextrin sodný jako solubilizátor, stabilizátor a modulátor uvolňování léčiva, čímž zlepšuje účinnost formulace bez chemické změny aktivní složky.

Klíčové výhody

Ve farmaceutických formulacích SBECD významně zvyšuje rozpustnost ve vodě špatně rozpustných API a zlepšuje chemickou i fyzikální stabilitu. Ve srovnání s konvenčními solubilizačními činidly vykazuje sníženou renální toxicitu, minimální hemolytický potenciál a nízké dráždění v místě vpichu.

SBECD také podporuje konzistentní biologickou dostupnost, řízené uvolňování léčiva a v případě potřeby účinné maskování nepříjemného zápachu nebo chuti API.

Farmaceutické aplikace

Sulfobutylether beta cyklodextrin sodný se primárně používá v parenterálních dávkových formách, včetně intravenózních, intramuskulárních a subkutánních injekcí. Je také vhodný pro oční roztoky, nazální formulace a specializované systémy podávání léků vyžadující zvýšenou rozpustnost a stabilitu.

Produkt je široce používán v antivirových, antifungálních, onkologických, kardiovaskulárních a centrálních nervových systémech.

Zkušenosti s drogami na trhu

SBECD byl úspěšně aplikován v několika komerčně prodávaných injekčních produktech, což prokázalo jeho prokázanou bezpečnost a výkon. Reprezentativní aplikace zahrnují injekci remdesiviru, injekci vorikonazolu, injekci posakonazolu, melfalan hydrochlorid pro injekci a injekci mesylátu ziprasidonu.

Typické specifikace kvality

Produkt injekční kvality splňuje přísné požadavky na kontrolu kvality. Hodnoty testu jsou kontrolovány mezi 95,0 % a 105,0 % na bezvodé bázi, s průměrným stupněm substituce typicky v rozmezí od 6,2 do 6,9. Nečistoty, zbytkový betadex a anorganické soli jsou přísně omezeny.

Hladiny bakteriálního endotoxinu odpovídají požadavkům na parenterální použití a mikrobiální limity odpovídají standardům USP. Čirost roztoku a profily nečistot jsou sledovány podle lékopisných metod. Každá šarže je dodávána s kompletním certifikátem analýzy (COA).

Představení společnosti

Xi’an Deli Biochemical Industry Co., Ltd. je high-tech společnost specializující se na výzkum, vývoj, výrobu a prodej cyklodextrinů a jejich derivátů. Společnost byla založena v roce 1999 a má více než 26 let zkušeností s výrobou farmaceutických pomocných látek.

Společnost provozuje moderní výrobní závod nacházející se v okrese Lintong, Xi'an, pokrývající přibližně 17,8 mu. Mezi její základní produkty patří Hydroxypropyl Betadex značky DELI a Betadex Sulfobutyl Ether Sodium, které byly oba zaregistrovány a podány u FDA.

S roční výrobní kapacitou 500 metrických tun Hydroxypropyl Betadex a 200 metrických tun Sulfobutylether Beta Cyclodextrin Sodium poskytuje společnost Xi’an Deli Biochemical spolehlivé a rozsáhlé dodávky farmaceutickým zákazníkům po celém světě.

Zajištění kvality a výrobní kapacita

Xi’an Deli Biochemical funguje v rámci systému řízení kvality s certifikací ISO 9001 a je vybavena pokročilými analytickými přístroji, jako je HPLC, GC, iontová chromatografie, kapilární elektroforéza a FTIR. Od surovin až po hotové výrobky se uplatňuje přísná kontrola kvality, která zajišťuje vynikající konzistenci mezi jednotlivými šaržemi.

Balení, skladování a trvanlivost

Produkt je dostupný v balení 500 g, 1 kg a 10 kg. Sulfobutylether Beta Cyclodextrin Sodium by měl být skladován na chladném a suchém místě v těsně uzavřených nádobách a chráněn před vlhkostí. Při doporučených podmínkách skladování je skladovatelnost až 36 měsíců.

Proč si vybrat Xi’an Deli Biochemical

S desítkami let odborných znalostí v oblasti výroby cyklodextrinů, specializovanými výrobními linkami injekční kvality a prokázanou globální výkonností dodávek je Xi’an Deli Biochemical důvěryhodným partnerem pro vysoce kvalitní sulfobutylether Beta Cyclodextrin Sodium. Společnost nabízí konzistentní kvalitu, škálovatelnou výrobní kapacitu a silnou technickou podporu pro vývoj receptur.

Kontaktujte nás

Pro vzorky, technická data nebo cenové nabídkyCAS 182410-00-0 Sulfobutylether beta cyklodextrin sodný, kontaktujte prosím Xi’an Deli Biochemical Industry Co., Ltd.

Hot Tags: CAS 182410-00-0 Sulfobutylether Beta cyklodextrin sodný, Výrobci, Dodavatelé, Čína, Továrna, volně ložený, Vzorek zdarma, Vyrobeno v Číně, Skladem, Velkoobchod, Koupit

Související kategorie

Odeslat dotaz

Neváhejte a napište svůj dotaz do formuláře níže. Odpovíme vám do 24 hodin.
icon
X
Používáme cookies, abychom vám nabídli lepší zážitek z prohlížení, analyzovali návštěvnost webu a přizpůsobili obsah. Používáním tohoto webu souhlasíte s naším používáním souborů cookie. Zásady ochrany osobních údajů
Odmítnout Přijmout